InnoDB 是如何存储数据的?
MySQL 把数据存储和查询操作抽象成了存储引擎,不同的存储引擎,对数据的存储和读取 方式各不相同。MySQL 支持多种存储引擎,并且可以以表为粒度设置存储引擎。因为支持 事务,我们最常使用的是 InnoDB。为方便理解下面的内容,我先和你简单说说 InnoDB 是 如何存储数据的。 虽然数据保存在磁盘中,但其处理是在内存中进行的。为了减少磁盘随机读取次数, InnoDB 采用页而不是行的粒度来保存数据,即数据被分成若干页,以页为单位保存在磁盘 中。InnoDB 的页大小,一般是 16KB。 各个数据页组成一个双向链表,每个数据页中的记录按照主键顺序组成单向链表;每一个数 据页中有一个页目录,方便按照主键查询记录。数据页的结构如下:

页目录通过槽把记录分成不同的小组,每个小组有若干条记录。如图所示,记录中最前面的 小方块中的数字,代表的是当前分组的记录条数,最小和最大的槽指向 2 个特殊的伪记 录。有了槽之后,我们按照主键搜索页中记录时,就可以采用二分法快速搜索,无需从最小 记录开始遍历整个页中的记录链表。
举一个例子,如果要搜索主键(PK)=15 的记录:
先二分得出槽中间位是 (0+6)/2=3,看到其指向的记录是 12<15,所以需要从 #3 槽后继续搜索记录;
再使用二分搜索出 #3 槽和 #6 槽的中间位是 (3+6)/2=4.5 取整 4,#4 槽对应的记录是 16>15,所以记录一定在 #3 槽中;
再从 #3 槽指向的 12 号记录开始向下搜索 3 次,定位到 15 号记录。
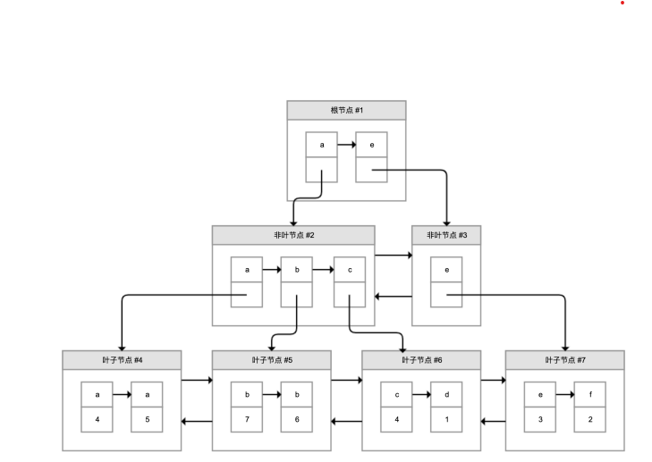
聚簇索引和二级索引
这里先讲一下 B+ 树,了解数据结构的兄弟肯定知道数是什么样的,无非就是父节点和子树节点组成的
B+数的特点
- 最底层的节点叫叶子节点,只有叶子节点储存数据
- 非叶子节点不存储数据,仅存放数据项,用作索引
- 非叶子节点分层,每一层的数据项范围不一样,便于分级查找
- 每一层所有节点按照索引键大小排序,构成一个双向链表,加速范围查找。
下面是B+数的结构:

因此,InnoDB 使用 B+ 树,既可以保存实际数据,也可以加速数据搜索,这就是聚簇索引。
由于数据在物理上只会保存一份,所以包含实际数据的聚簇索引只能有一个。
InnoDB 会自动使用主键(唯一定义一条记录的单个或多个字段)作为聚簇索引的索引键 (如果没有主键,就选择第一个不包含 NULL 值的唯一列)。上图方框中的数字代表了索引键的值,对聚簇索引而言一般就是主键。
由于聚簇索引只能有一个,所以当我们在优化其他的字段查询效率时就诞生了二级索引(也叫非聚簇索引、辅助索引)
二级索引的数据结构也是B+数,但是它的叶子节点不存储数据
二级索引的叶子节点存储的是主键,所以当走完索引得到数据主键时还需要回表查询数据字段。
如下图:

举个例子,有个索引是针对用户名字段创建的,索引记录上面方块中的字母是用户名,按照顺序形成链表。
如果我们要搜索用户名为 b 的数据,经过两次定位可以得出在 #5 数据页 中,
查出所有的主键为 7 和 6,再拿着这两个主键继续使用聚簇索引进行两次回表得到完 整数据。
额外创建二级索引的代价
创建二级索引的代价,主要表现在维护代价、空间代价和回表代价三个方面。
- 维护代价。创建 N 个二级索引,就需要再创建 N 棵 B+ 树,新增数据时不仅要修改 聚簇索引,还需要修改这 N 个二级索引。
- 空间代价。虽然二级索引不保存原始数据,但要保存索引列的数据,所以会占用更多 的空间。有时会出现索引空间比数据空间还大的情况
- 回表的代价。二级索引不保存原始数据,通过索引找到主键后需要再查询聚簇索引, 才能得到我们要的数据。·
如果我们需要查询的是索引列索引或联合索引能覆盖的数据,那么查询索引本身已 经“覆盖”了需要的数据,不再需要回表查询。因此,这种情况也叫作索引覆盖。
技巧
第一,无需一开始就建立索引,可以等到业务场景明确后,或者是数据量超过 1 万、查询变慢后,再针对需要查询、排序或分组的字段创建索引。创建索引后可以使用 EXPLAIN 命 令,确认查询是否可以使用索引。我会在下一小节展开说明。
第二,尽量索引轻量级的字段,比如能索引 int 字段就不要索引 varchar 字段。索引字段也 可以是部分前缀,在创建的时候指定字段索引长度。针对长文本的搜索,可以考虑使用 Elasticsearch 等专门用于文本搜索的索引数据库。
第三,尽量不要在 SQL 语句中 SELECT *,而是 SELECT 必要的字段,甚至可以考虑使用联 合索引来包含我们要搜索的字段,既能实现索引加速,又可以避免回表的开销。
不是所有针对索引列的查询都能用上索引
- 索引只能匹配列前缀。比如name字段有索引,当查询条件是 where name = ‘123’ 或者 where name like ‘123%‘时都能走索引,但是如果是where name like ‘%123’ , 则不会走索引。
- 条件涉及函数操作无法走索引。很简单,就是你索引列上使用了函数 比如 length(name) > 7 这种也不会走索引、
- 联合索引只能匹配左边的列。原因也很简单,在联合索引的情况下,数据是按照索引第一列排序,第一列数据相同时才会 按照第二列排序。需要注意的是,因为有查询优化器,所以联合索引的第一列作为WHERE子句的第几个条件并不是很重要。
数据库基于成本决定是否走索引
通过前面的案例,我们可以看到,查询数据可以直接在聚簇索引上进行全表扫描,也可以走二级索引扫描后到聚簇索引回表。看到这里,你不禁要问了,MySQL 到底是怎么确定走哪种方案的呢。MySQL 在查询数据之前,会先对可能的方案做执行计划,然后依据成本决定走哪个 执行计划。
这里的成本,包括 IO 成本和 CPU 成本:
IO 成本,是从磁盘把数据加载到内存的成本。默认情况下,读取数据页的 IO 成本常数 是 1(也就是读取 1 个页成本是 1)。
CPU 成本,是检测数据是否满足条件和排序等 CPU 操作的成本。默认情况下,检测记 录的成本是 0.2。